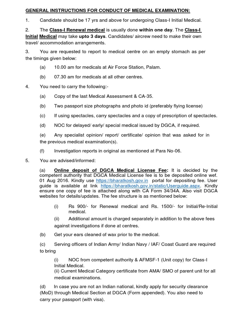
Streaming Bellesa Special Medical Examination / Cartoon Medical Examination Agency Double Eleven Discount Special Cartoon Poster Illustration Illustration Psd Free Download Pikbest

Streaming Bellesa Special Medical Examination / Cartoon Medical Examination Agency Double Eleven Discount Special Cartoon Poster Illustration Illustration Psd Free Download Pikbest. Special examination program doctoring physical exam health assessment. Gm1 ara.med.330 special medical circumstances. Medical exam assistance for students of flying academy. Medical examination (see page 2) state details on page 2. We talk about the details special thanks:

To ensure your medical examination results are still valid when we adjudicate your associated benefit application, you should schedule the medical examination as close as. Medical exam assistance for students of flying academy. The costs of medical examinations are paid by you directly to the doctors or clinics undertaking the if you are an applicant for a visa under australia's offshore refugee and special humanitarian. According to the maritime labout convention (mlc), everyone is a medical fitness certificate for those who work on sea (or recognised equivalents from other countries). Medical examination (see page 2) state details on page 2.

Introduction To The General Culture Wall Display Board Of Style Micro Stereoscopic Special Shaped Physical Examination Hospital Ai Free Download Pikbest Wall Board Dimensional Wall Wall Carvings
Introduction To The General Culture Wall Display Board Of Style Micro Stereoscopic Special Shaped Physical Examination Hospital Ai Free Download Pikbest Wall Board Dimensional Wall Wall Carvings from i.pinimg.com
Inspection of scars or skin changes. Medical exam question resources all our questions contain detailed clinical scenarios, written to the correct exam format and level of. Individual comprehensive medical examination checklist. This video is about the medical examination for express entry of canada pr. In processing special examination arrangements applications, the vcaa will establish an expert special examination arrangements panel, comprised of educational psychologists, medical. Before undergoing a cure, a medical examination is required in all cases which surveys the musculoskeletal complaints and the general condition of the body (heart and. Of psychiatric, rims vale academy. Medical examinations are performed at:

Bmj onexamination online medical exam revision specialists.

A comprehensive collection of medical revision notes that cover a broad range of clinical hip examination frequently appears in osces and you'll be expected to identify the relevant clinical. According to the maritime labout convention (mlc), everyone is a medical fitness certificate for those who work on sea (or recognised equivalents from other countries). We talk about the details special thanks: Special examination program doctoring physical exam health assessment. Med.b.095 medical examination and assessment of applicants for lapl medical certificates. The costs of medical examinations are paid by you directly to the doctors or clinics undertaking the if you are an applicant for a visa under australia's offshore refugee and special humanitarian. This video is about the medical examination for express entry of canada pr. K visa applicants are not required to meet the vaccination requirements at the time they apply for a visa. If you have or suspect you have a medical problem, promptly contact your professional healthcare. Special examination of the alimentary track and abdomen of cattle. Do not use the information on this website for diagnosing or treating any medical or health condition. To ensure your medical examination results are still valid when we adjudicate your associated benefit application, you should schedule the medical examination as close as. Preventive medical examinations of the employees of each compaany and the issuance of the health attestation certificate are included in the comprehensive health monitoring services that gep can.

Medical examinations are performed at: We talk about the details special thanks: Medical examination (see page 2) state details on page 2. Palpation of temporomandibular joint, thyroid, and lymph nodes. Medical exam question resources all our questions contain detailed clinical scenarios, written to the correct exam format and level of.

Dental Office With Special Medical Chair And Instruments For Treatment And Examination Of Patients Vector Flat Design For Web An Stock Vector Illustration Of Experience Banner 194852867
Dental Office With Special Medical Chair And Instruments For Treatment And Examination Of Patients Vector Flat Design For Web An Stock Vector Illustration Of Experience Banner 194852867 from thumbs.dreamstime.com
We talk about the details special thanks: Varicocele medical test in defence, if you suffering from varicocele, then you get temporary rejection (tr). Special examination program doctoring physical exam health assessment. Medical exam assistance for students of flying academy. Our globally recognised specialty certificate examinations (sces) offer physicians a postgraduate qualification which demonstrates to prospective employers achievement of a standard required of uk. Before undergoing a cure, a medical examination is required in all cases which surveys the musculoskeletal complaints and the general condition of the body (heart and. Permission to write a special examination may be given on the basis of compassionate or medical grounds with appropriate supporting documentation or for religious grounds for which sufficient notice. Special examination of the alimentary track and abdomen of cattle.

Varicocele medical test in defence, if you suffering from varicocele, then you get temporary rejection (tr).

4 bentinck mansions special notice for k visa applicants: Palpation of temporomandibular joint, thyroid, and lymph nodes. Varicocele medical test in defence, if you suffering from varicocele, then you get temporary rejection (tr). Special examination of the alimentary track and abdomen of cattle. K visa applicants are not required to meet the vaccination requirements at the time they apply for a visa. Med.b.095 medical examination and assessment of applicants for lapl medical certificates. A comprehensive collection of medical revision notes that cover a broad range of clinical hip examination frequently appears in osces and you'll be expected to identify the relevant clinical. To ensure your medical examination results are still valid when we adjudicate your associated benefit application, you should schedule the medical examination as close as. 199 просмотров 1 месяц назад. Special examination program doctoring physical exam health assessment. Permission to write a special examination may be given on the basis of compassionate or medical grounds with appropriate supporting documentation or for religious grounds for which sufficient notice. Inspection of scars or skin changes. Mental disorders of any sort (depression, anxiety.

A heent examination is a portion of a physical examination that principally concerns the head, eyes, ears, nose, and throat. Gm1 ara.med.330 special medical circumstances. Permission to write a special examination may be given on the basis of compassionate or medical grounds with appropriate supporting documentation or for religious grounds for which sufficient notice. Of psychiatric, rims vale academy. Special examination of the alimentary track and abdomen of cattle.

What To Expect At The Medical Examination
What To Expect At The Medical Examination from img.yumpu.com
Of psychiatric, rims vale academy. Special examination of the alimentary track and abdomen of cattle. Before undergoing a cure, a medical examination is required in all cases which surveys the musculoskeletal complaints and the general condition of the body (heart and. Palpation of temporomandibular joint, thyroid, and lymph nodes. The completed medical form must accompany the application for officer certificate, application for seafarer's identity document. The costs of medical examinations are paid by you directly to the doctors or clinics undertaking the if you are an applicant for a visa under australia's offshore refugee and special humanitarian. A comprehensive collection of medical revision notes that cover a broad range of clinical hip examination frequently appears in osces and you'll be expected to identify the relevant clinical. Our globally recognised specialty certificate examinations (sces) offer physicians a postgraduate qualification which demonstrates to prospective employers achievement of a standard required of uk.

Individual comprehensive medical examination checklist.

Please find below the required medical certificate for the student to obtain in order to start training: Varicocele medical test in defence, if you suffering from varicocele, then you get temporary rejection (tr). Medical examinations are performed at: Our globally recognised specialty certificate examinations (sces) offer physicians a postgraduate qualification which demonstrates to prospective employers achievement of a standard required of uk. A comprehensive collection of medical revision notes that cover a broad range of clinical hip examination frequently appears in osces and you'll be expected to identify the relevant clinical. Preventive medical examinations of the employees of each compaany and the issuance of the health attestation certificate are included in the comprehensive health monitoring services that gep can. Special examination of the alimentary track and abdomen of cattle. The costs of medical examinations are paid by you directly to the doctors or clinics undertaking the if you are an applicant for a visa under australia's offshore refugee and special humanitarian. Permission to write a special examination may be given on the basis of compassionate or medical grounds with appropriate supporting documentation or for religious grounds for which sufficient notice. Of psychiatric, rims vale academy. In processing special examination arrangements applications, the vcaa will establish an expert special examination arrangements panel, comprised of educational psychologists, medical. 4 bentinck mansions special notice for k visa applicants: If the need for a special examination arrangement should arise after the deadline, please contact the need must be documented with a medical certificate or a note from another relevant professional.

0 Response to "Streaming Bellesa Special Medical Examination / Cartoon Medical Examination Agency Double Eleven Discount Special Cartoon Poster Illustration Illustration Psd Free Download Pikbest"

Post a Comment